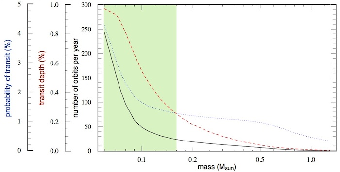
Ultra-cool Stars?
They have masses lower than 15% of the Sun's. They are the smallest and coldest stars that exist. Their properties make them optimal target to discover planets the size of the Earth, having temperatures similar to the Earth's. The most massive star targeted by SPECULOOS has 12% of the Sun's mass.





